Wickelmaschinenanwendung - Energiespeicherung
Energiespeicher
Wickelmaschinen für die Luft- und Raumfahrt- und Verteidigungsindustrie
Luft- und Raumfahrtindustrie
Automontage am Fließband bei Wickelmaschinen für die Automobilindustrie
Automobilindustrie
Wickelmaschinenanwendung - Elektrik und Elektronik
Elektrik und Elektronik
Wickelmaschine für Kommunikationsgeräte
Kommunikationsausrüstung
Wickelmaschinenanwendung - Unterhaltungselektronik
Unterhaltungselektronik
Wickelmaschinen für Haushaltsgeräte
Haushaltsgeräte
Wickelmaschinenanwendung - Industrielle Automatisierung und Robotik
Industrielle Automatisierung
Wickelmaschine für die Leuchtenindustrie
Beleuchtungsindustrie
Wickelmaschinenanwendung - Erneuerbare Energien
Erneuerbare Energien
Ein Mann bedient eine Drahtherstellungsmaschine in GuangRi
Warum uns wählen
Ein Mann bedient eine Maschine, die einen roten Draht produziert. Dieses Bild zeigt die Transformatorwickelmaschine und ihre Technologie.
Wickeltechnik
Ein Mann im Anzug hält eine kleine Spule, die Entwicklungstechnik für verschiedene Branchen symbolisiert
Entwicklung & Engineering
Partnerentwicklungsprogramme Ein Geschäftsumfeld, in dem eine vielfältige Gruppe einen Handschlag zwischen zwei Personen beobachtet, der eine erfolgreiche Vereinbarung oder Partnerschaft andeutet
Partner-Support
Eine Teambuilding-Veranstaltung eines Unternehmens am Strand, bei der eine Gruppe von Menschen für ein Foto posiert
GuangRi-Galerie

Berechnung der Motorwicklung: Schritte und Tipps für Genauigkeit

Erfahren Sie mehr über die Berechnung der Motorwicklung und die wichtigsten Materialien zur Maximierung der Motoreffizienz. Entdecken Sie die Nutfüllung, die Wicklungsdrahtgröße und wie Sie die Leistung verbessern können.

Inhaltsverzeichnis

Motorwicklungen spielen eine entscheidende Rolle bei der Bestimmung der Leistung und Effizienz eines Elektromotor.

Motorwicklungsschema mit verschiedenen Spulenanschlüssen

In diesem Handbuch besprechen wir die Bedeutung der Berechnung der Motorwicklungen und der verwendeten Materialien sowie praktische Schritte zur Optimierung des Motordesigns und Maximierung der Effizienz.

Was ist eine Motorwicklung?

Verdrillte Wicklungen verbessern die Haltbarkeit und Zuverlässigkeit industrieller Motor- und Generatorkonstruktionen

Motorwicklungen sind isolierte Drähte, die um einen Kern (normalerweise laminiertes Weicheisen) gewickelt sind, um ein Magnetfeld zu erzeugen, das eine Bewegung im Rotor des Motors induziert.

Die Effizienz eines Motors wird weitgehend durch die Konstruktion und Konfiguration dieser Wicklungen bestimmt.

Wichtige Motorwicklungsmaterialien

Bild zeigt Kupferwicklungen in einem Motorrotor

Die Wahl des Materials für die Motorwicklungen wirkt sich direkt auf die Leistung und Effizienz des Motors aus. Zu den am häufigsten verwendeten Materialien gehören:

  • Kupfer: Aufgrund seiner hohen Leitfähigkeit und relativ geringen Kosten das am häufigsten verwendete Material. Kupferwicklungen sind im Allgemeinen effizienter, haben aber eine höhere Dichte, was sie für Leichtbauanwendungen weniger ideal macht.

  • Aluminium: Leichter als Kupfer, hat aber eine geringere Leitfähigkeit, sodass größere Drahtquerschnitte erforderlich sind, um die gleiche Leistung zu erzielen. Es wird in kostengünstigen Designs und Leichtmotoren verwendet.

  • Silber: Silber ist für seine hervorragende Leitfähigkeit bekannt und wird in speziellen Hochleistungsmotoren verwendet, ist jedoch teuer.

  • Kohlenstoffnanoröhren: Sie stellen eine vielversprechende Alternative dar und bieten höhere Festigkeit, Flexibilität und ein geringeres Gewicht als herkömmliche Materialien. Sie können Joule-Verluste erheblich reduzieren.

Motorwicklungsberechnungen

Die Effizienz und Drehmoment Die Leistung eines Motors hängt stark von der Wicklungskonstruktion ab.

Hier sind die wichtigsten Berechnungen und Überlegungen:

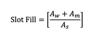
Schlitzfüllung

Diagramm zur Berechnung der Nutfüllung für die Motorwicklung

Die Nutfüllung bezieht sich auf die Gesamtfläche, die von den Materialien in der Statornut eingenommen wird, einschließlich des Motorwicklungsdrahts. Isolierungund Keile.

Je mehr Draht in den Schlitz passt, desto mehr Drehmoment erzeugt der Motor.

Slot-Füllfaktor

Berechnung des Nutfüllfaktors bei der Auslegung von Motorwicklungen

Der Nutfüllfaktor ist das Verhältnis der vom Wickeldraht eingenommenen Fläche zur insgesamt verfügbaren Nutfläche.

Ein höherer Füllfaktor, idealerweise nahe 1, führt zu einer besseren Leistung, obwohl dies in der Herstellung eine Herausforderung darstellen kann.

Maximierung der Drehmomentabgabe

Um das Drehmoment zu maximieren, müssen die Designer sicherstellen, dass der Schlitz effizient mit Verkabelung gefüllt ist.

Allerdings ist es wichtig, ein Gleichgewicht zwischen Herstellbarkeit und optimaler Wicklungsausführung ist entscheidend für eine kostengünstige Motorenproduktion.

Abschluss

Abbildung mit den Phasen der Ankerwicklung und der Suchspule

Motorwicklungsberechnungen sind für die Konstruktion effizienter und leistungsstarker Elektromotoren von entscheidender Bedeutung.

Durch die Auswahl der richtigen Materialien und die Optimierung der Nutfüllung können Ingenieure das Drehmoment und die Effizienz des Motors maximieren.

Unabhängig davon, ob Sie an einem Hochleistungsmotor oder einem kostengünstigen Design arbeiten, das Verständnis dieser Berechnungen sorgt für bessere Ergebnisse.

FAQs zur Motorwicklungsberechnung

1. Wie berechnet man den Wicklungswiderstand eines Motors?

Der Wicklungswiderstand des Motors kann mit dem Ohmschen Gesetz berechnet werden:
Widerstand (R) = Spannung (V) / Strom (I)
Wenn beispielsweise die Spannung an der Motorwicklung 10 Volt und die Stromstärke 1 Ampere beträgt, beträgt der Widerstand 10 Ohm. Mithilfe dieser Formel lässt sich die elektrische Leistung der Wicklung beurteilen.

2. Wie bestimmt man Motorwicklungen?

Um festzustellen, ob die Motorwicklungen ordnungsgemäß funktionieren, führen Sie Wechsel- und Gleichstrommessungen an den Motorleitungen durch. Sind die Messungen ausgeglichen, sind die Wicklungen in Ordnung. Sind sie unausgeglichen, liegt möglicherweise ein Fehler vor. Testen stellt die ordnungsgemäße Leistung sicher und erkennt potenzielle Probleme wie Kurzschlüsse oder Unterbrechungen in den Wicklungen.

Schreibe einen Kommentar

Deine E-Mail-Adresse wird nicht veröffentlicht. Erforderliche Felder sind mit * markiert

Neueste Artikel für Sie
de_DEGerman

Kontaktieren Sie uns für technischen Support

***Wir legen Wert auf Ihre Privatsphäre und verpflichten uns, Ihre persönlichen Daten mit größter Sorgfalt zu schützen.